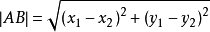
设两个点A、B以及坐标分别为 :
、
,则A和B两点之间的距离为:
两点间距离公式常用于函数图形内求两点之间距离、求点的坐标的基本公式,是距离公式之一。两点间距离公式叙述了点和点之间距离的关系。
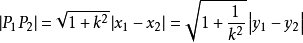
直线上两点间的距离公式:
设直线
的方程为
,点
,
为该线上任意两点,则
这一公式即所谓圆锥曲线的弦长公式。若记
为直线AB的倾斜角,则
同时,若已知直线公式和其中一个点,并且给定了距离,可以反求另一个点的坐标。
有一只工程队要铺设一条网络,连接A,B两城。他们首先要知道两城之间的距离,才能准备材料。他们用全球定位系统将两城的位置在平面直角坐标系中表示出来。现在我们就来试试看能不能帮他们求出A、B两城之间的距离。
首先我们作点A关于X轴的垂线,设垂足为A’,再作B关于Y轴的垂线,设垂足为B’;延长AA’和BB’使之交与C点。
显然角C等于90度,这样我们就构造出了一个三角形ABC,而我们要求的AB就在这个直角三角形上。
由勾股定理可以得知:
由A(-20,20)和B(20,-10),所以可知C(-20,-10)。现在我们可以将AB平移到Y轴上,设这两个对应的点为N1,N2,所以:
因此可知:AB2=|20-(-20)|2+|(-10)-20|2=2500
所以
。
