设AD=DC=a,则AB=2a,设BC=b。
得方程组
2a+a=24
a+b=30
或得方程组
2a+a=30
a+b=24
解得:
a=8 ,b=22,或a=10 ,b=14
所以三边长分别为:
16cm、16cm、22cm或20cm、20cm、14cm

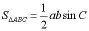
三角形的面积公式:

(其中,a、b为三角形两边,C为边c所对角)
因为该公式涉及到建立在直角三角形基础上的正弦值,而“正弦”摆脱圆的控制而在直角三角形中讨论,是16世纪的事。哥白尼的得意门生——奥地利数学家雷提库斯(Rhaeticus,1514—1574)在《三角学准则》一书中,将正弦函数的定义直接建立在“直角三角形”上,即sinα=对边/斜边。因此,可断定出现在16世纪以后。
