问答二八

  • 网站首页
  • 百科知识
  • 百科问答
  • 生活百科
位置:首页> 生活百科>

2014广东省内深圳大学录取分数线

时间:2026-03-06 11:42:00 浏览:823次

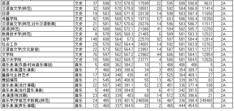
2014年深圳大学在广东省内各专业录取的详细数据下表:

2014广东省内深圳大学录取分数线

2014广东省内深圳大学录取分数线

2014广东省内深圳大学录取分数线

标签:深圳大学,分数线

相关文章

深圳大学2003年高考录取分数线

深圳大学2003年高考录取分数线

深圳大学传媒生录取分数线

深圳大学传媒生录取分数线

深圳大学是211大学吗

深圳大学是211大学吗

  • 1 深圳大学从高处俯瞰是八卦图的形状吗? 834 阅读

热门文章

  • 独居老人,空巢老人,留守老人的区别

    独居老人,空巢老人,留守老人的区别

    01-28 1018次
  • 一性一交一伦一爱一乱的意思是什么

    一性一交一伦一爱一乱的意思是什么

    01-28 1015次
  • 甘字少一横怎么读

    甘字少一横怎么读

    02-03 988次
  • 少女的心曼娜日记原文

    少女的心曼娜日记原文

    01-27 979次
  • 避谶是什么意思

    避谶是什么意思

    02-08 973次
  • 贮蓄的意思和解释

    贮蓄的意思和解释

    02-03 970次

推荐文章

Yoga翻转魔术师系列漫画简介

Yoga翻转魔术师系列漫画简介

沉默的真相结局

沉默的真相结局

机动杀人基本信息

机动杀人基本信息

benken是什么牌子

benken是什么牌子

绝世天魔的剧情简介

绝世天魔的剧情简介

诛仙2,什么是推广号,有什么用?

诛仙2,什么是推广号,有什么用?

鬼节晚上几点不能出门

鬼节晚上几点不能出门

最佳嫌疑人到底是什么意思

最佳嫌疑人到底是什么意思

我的QQ空间为什么一直打不开? 老是出现:网页可能暂时无法连接,或者它已永久性地移动到了新网址。

我的QQ空间为什么一直打不开? 老是出现:网页可能暂时无法连接,或者它已永久性地移动到了新网址。

UC浏览器3g下载安装方法是什么?兼容性如何?

UC浏览器3g下载安装方法是什么?兼容性如何?

我们提供全面、权威的百科知识问答库,涵盖生活技巧、科学探索、历史人文、自然地理等千万级问答。每日更新热门话题,满足您的求知欲。快速搜索、免费查阅,轻松成为知识达人!

CopyRight © 2025 网站地图 - 闽ICP备2025090153号-14 - 联系邮箱:1465333496@qq.com