平行四边形的对角线计算公式:C2=A2+B2+2AB*COS角,C是对角线,A、B是平行四边型相邻两边。先知道两边的夹角,然后用余弦定理求。
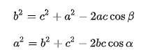
余弦定理表达式

同理,也可描述为:

扩展资料:
相关计算
1、平行四边形的面积公式:底×高(可运用割补法,推导方法如图);如用“h”表示高,“a”表示底,“S”表示平行四边形面积,则S平行四边形=a*h。

2、平行四边形的面积等于两组邻边的积乘以夹角的正弦值;如用“a”“b”表示两组邻边长,α表示两边的夹角,“S”表示平行四边形的面积,则S平行四边形=ab*sinα。
3、平行四边形周长:四边之和。可以二乘(底1+底2);如用“a”表示底1,“b”表示底2,“c平”表示平行四边形周长,则平行四边的周长c=2(a+b)。
